jk.zdjt.com.png?v=1
7baeebd19000606ffbc2abb4e1288207
ͪÂå·Ò³¦ÈܽºÄÒ
¡¾³É¡¡¡¡·Ý¡¿±¾Æ·ÖØÒª³É·ÝΪͪÂå·Ò¡£
¡¾Ö°ÄÜÖ÷ÖΡ¿ÓÃÓÚ¸÷Àà¹Ø½ÚÑס£
¡¾¹æ¡¡¡¡¸ñ¡¿50mg
¡¾ºË×¼Îĺš¿¹úÒ©×¼×ÖH14021389
²úÆ·×¢Ã÷

¡¾Ò©Æ·Ãû³Æ¡¿Í¨ÓÃÃû³Æ£ºÍªÂå·Ò³¦ÈܽºÄÒ

        Ó¢ÎÄÃû³Æ£ºKetoprofen Enteric-coated Capsules

        ººÓïÆ´Òô£ºTongluofen Changrong Jiaonang

¡¾³É·Ý¡¿±¾Æ·ÖØÒª³É·ÝΪͪÂå·Ò¡£Æä»¯Ì¨¸¦³ÆÎª£ºa-¼×»ù-3-±½¼×õ£»ù-±½ÒÒËá¡£

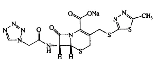
     Æä»¯Ñ§½á¹¹Ê½Îª£º

ͪÂå·Ò³¦ÈܽºÄÒ

     ·Ö×Óʽ£ºC16H14O3

     ·Ö×ÓÁ¿£º254.29

¡¾ÐÔ×´¡¿±¾Æ·ÄÚÈÝÎïΪ°×É«·ÛÄ©¡£

¡¾ÊÊÓ¦Ö¢¡¿ÓÃÓÚ¸÷Àà¹Ø½ÚÑ×£ºÀà·çʪ¹Ø½ÚÑס¢¹ÇÐԹؽÚÑס¢Ç¿Ö±ÐÔ¼¹ÖùÑס¢Í´·çÐԹؽÚÑ׵ȵĹؽÚÍ´¡¢Ö×ÒÔ¼°¸÷ÀàÌÛÍ´£¬ÈçÍ´¾­¡¢ÑÀÍ´¡¢ÊÖÊõºóÍ´¡¢°©ÐÔÌÛÍ´µÈ¡£

¡¾¹æ¸ñ¡¿50mg

¡¾Ó÷¨ÓÃÁ¿¡¿¿Ú·þ³ÉÈ˳£ÓÃÁ¿£º1¡¢¿¹·çʪ£¬Ò»´Î50mg£¬Ò»ÈÕ3¡«4´Î¡£×î´óÓÃÁ¿Ò»Ìì200mg£»2¡¢Ò½ÖÎÍ´¾­£¬Ò»´Î50mg£¬Ã¿6¡«8Ó×ʱ1´Î£¬±ØÒªÊ±¿ÉÔöÖÁÿ´Î75mg¡£ÎªÔ¤·À¶Ôθ³¦Â·´Ì¼¤£¬Ó¦·¹ºó·þÓã¬Õû¸ö½ºÄÒÍÌ·þ¡£

¡¾²»Á¼·´Ó³¡¿1¡¢Î¸³¦Â··´Ó³½Ï³£¼û£¬Èçθ²¿ÌÛÍ´»ò²»ÊÊ¡¢ÕÍÆø¡¢¶ñÐÄ¡¢Å»Í¡¢Ê³Óû¼õÍË¡¢¸¹Ðº¡¢±ãÃØµÈ£¬ÑϳÁÕ߿ɳöÏÖÉÏÏû»¯Â·À£Ññ¡¢³öѪ¼°´©¿×¡£2¡¢¹ýÃô·´Ó³£º¹ýÃôÐÔÆ¤Ñס¢Æ¤·ôðþÑ÷¡¢°þÍÑÐÔÆ¤Ñס¢ºíÍ·Ë®Öס¢Ö§Æø¹Ü¾·ÂÎ(¹ýÃôÐÔ)µÈ¡£3¡¢ÑÛ£ºÊÓÁ¦ÍÌÍ¡¢ÊÓÍøÄ¤³öѪ¡£4¡¢ÐÄѪ¹Üϵͳ£ºÐÄÂɲ»Æë¡¢ÑªÑ¹Éý¸ß¡¢Ðļ¡£5¡¢ÖÐÊàÉñ¾­ÏµÍ³£ºÍ·ÔΡ¢Í·Í´¡¢¶úÃù¡¢ÌýÁ¦½µÂä¡¢ÐÄÁéÑÏÖØ¡¢ÐÄÁéÒÖÓô¡¢»Ã¾õ¡¢ÊÈ˯¡¢ÊÖ½ÅÂéľµÈ¡£6¡¢¸ÎÉö£º¸ÎÇÖº¦¡¢ÉöÖ°ÄܽµÂä¡¢¼äÖÊÐÔÉöÑס¢Éö²¡¡£7¡¢ÑªÒºÏµÍ³£º±Çô¬¡¢Á£Ï¸°ûÏ÷¼õ¡¢ÑªÓ×°åÏ÷¼õ¡¢ÈÜѪÐÔѪÐéµÈ¡£8¡¢ÆäËü£ºË®äóÁô(Ìå³ÁÔö³¤¿ì¡¢ÄòÁ¿Ï÷¼õ¡¢Ã沿ˮÖ×µÈ)¡¢¿ÚÇ»Ñס¢¶àº¹µÈ¡£

¡¾½û¼É¡¿1¡¢¶Ô°¢Ë¾Æ¥ÁÖ»òÆäËû·ÇçÞÌ忹Ñ×Ò©ÓйýÃôÕߣ»2¡¢ÓлÐÔÏû»¯ÐÔÀ£ÑñÕß¡£

¡¾µ±¿àÖÔÏî¡¿1¡¢½»²æ¹ýÃô£º¶Ô°¢Ë¾Æ¥ÁÖ»òÆäËû·ÇçÞÌ忹Ñ×Ò©¹ýÃôÕߣ¬±¾Æ·¿ÉÓн»²æ¹ýÃô·´Ó³¡£¶Ô°¢Ë¾Æ¥ÁÖ¹ýÃôµÄÏø´­»¼Õߣ¬±¾Æ·Ò²¿ÉÒýÆðÖ§Æø¹Ü¾·ÂΡ£2¡¢ÓÐÏÂÁÐÇé¿öÕßÓ¦É÷Ó㺢ÙÏø´­£¬ÓÃÒ©ºó¿É¼Ó³Á£»¢ÚÐÄÖ°Äܲ»È«¡¢¸ßѪѹ¡¢ÉöÖ°Äܲ»È«¡¢¸ÎÓ²»¯»¼Õߣ¬ÓÃÒ©ºó¿É¼Ó³ÁË®ÄÆäóÁô£¬ÉõÖÁµ¼ÖÂÐÄ¡¢¸Î¡¢ÉöÖ°ÄÜË¥½ß¡£¢ÛѪÓѲ¡»òÆäËû³öѪÐÔ¼²²¡(Ô̺¬ÄýѪ×è°­¼°ÑªÓ×°åÖ°ÄÜÒì³£)£¬ÓÃÒ©ºó³öѪ¹¦·òµ¢¸é£¬³öѪƫ²î¼Ó³Á£»¢ÜÓÐÏû»¯Â·À£Ññ²¡Ê·Õߣ¬ÀûÓñ¾Æ·Ê±Ò׳öÏÖθ³¦Â·¸±×÷Óã¬Ô̺¬²úÉúеÄÀ£Ññ£»3¡¢±¾Æ·ÎªÒ½ÖιؽÚÑ׵ĶÔÖ¢Ò©ÎÓÃÒ©ÊýÌìÖÁ1ÖܼûЧ£¬´ï×î´óÁÆÐ§ÐèÂ½ÐøÓÃÒ©2¡«3ÖÜ¡£±ØÐëͬʱ½øÐв¡ÒòÒ½ÖΡ£4¡¢ÉöÖ°Äܲ»È«ÕßÓ¦×ÃÇé¼õÁ¿¡£5¡¢ÎªÁËÏ÷¼õ¶Ôθ³¦Â·´Ì¼¤£¬¿ÉÓëʳƷͬ·þ»ò·¹ºó·þÓ᣶Լ±Ðèֹʹ»¼Õߣ¬¿ÉÓÚ½øÊ³Ç°30·ÖÖÓ»ò½øÊ³ºó2Ó×ʱ·þÒ©¡£6¡¢³Ö¾ÃÓÃҩʱӦ¶¨ÆÚËæÕ²é³­ÑªÏ󼰸Ρ¢ÉöÖ°ÄÜ¡£Ò»µ©³öÏÖθ³¦Â·³öѪ¡¢¸ÎÉöÖ°ÄÜÇÖº¦¡¢ÊÓÁ¦×è°­¡¢ÐÄÁéÒì³£¡¢ÑªÏóÒì³£¼°¹ýÃô·´Ó³µÈÒì³£Çé¿ö£¬¸Ãµ±¼´Í£Ò©¡¢¾ÍÕï¡£7¡¢¶Ô³¢ÊÔÊҲ鳭µÄ×ÌÈÅ£º¢ÙÓÉÓÚ±¾Æ·¶ÔѪÓ×°åÜöÝÍÓÐÒÖÔì×÷Ó㬿Éʹ³öѪ¹¦·òµ¢¸é3¡«4Ã룻¢Ú±¾Æ·¿ÉÊ¹ÑªÄÆÅ¨¶È½µµÍ£¬Ñªºìµ°°×¼°ºìϸ°ûѹ»ý½µµÍ£»¢Û±¾Æ·¿ÉÖÂѪÇå¼îÐÔÁ×Ëáø¡¢ÈéËáÍÑÇâø¼°×ª°±Ã¸Éý¸ß£»¢ÜÓÉÓÚ±¾Æ·ÔÚÄòÖдúл²úÆ·µÄ×ÌÈÅ£¬¿ÉÓ°ÏìÄò17Ò»ôÇÆ¤ÖÊÀà¹Ì´¼(17-OHCS)µÄ²â¶¨Á˾Ö¡£

¡¾Ôи¾¼°²¸ÈéÆÚ¸¾Å®ÓÃÒ©¡¿Ôи¾¼°²¸ÈéÆÚ¸¾Å®²»ÒËÀûÓá£

¡¾¶ùͯÓÃÒ©¡¿Éв»Ã÷È·¡£

¡¾ÀÏÄêÓÃÒ©¡¿ÀÏÄêÈËÀûÓñ¾Æ·Ê±Ñª½¬µ°°×½áºÏÂʼ°Ò©ÎïÅųö¿ìÂʿɼõµÍ£¬µ¼ÖÂѪҩŨ¶ÈÉý¸ß¼°°ëË¥ÆÚµ¢¸é£¬Òò¶øÐè°ÑÎȼÁÁ¿µ÷Õû¡£ÓÈÆä´óÓÚ70ËêÕߣ¬ÆðÍ·¿ÉÓðëÁ¿£¬ÈçÎÞЧÇÒÄÍÊܺ㬿ÉÖð²½Ôö³¤ÖÁ³£ÓÃÁ¿£¬µ«Ó¦Ç×êǼ໤¡£

¡¾Ò©ÎïÏ໥×÷Óá¿1¡¢Òû¾Æ»òÓëÆäËû·ÇçÞÌ忹Ñ×ҩͬÓÃʱÔö³¤Î¸³¦Â·²»Á¼·´Ó³¼°³öѪƫ²î¡£³Ö¾ÃÓë¶ÔÒÒõ£°±»ù·ÓͬÓÃʱ¿ÉÔö³¤¶ÔÉöÔàµÄ¶¾¸±×÷Óá£2¡¢Óë¸ÎËØ¡¢Ë«Ïã¶¹ËØµÈ¿¹ÄýÒ©¼°ÑªÓ×°åÜöÝÍÒÖÔìҩͬÓÃʱÓÐÔö³¤³öѪµÄΣÏÕ¡£3¡¢Óëß»ÈûÃ×ͬÓÃʱ£¬ºóÕßµÄÅÅÄÆºÍ½µÑ¹×÷ÓüõÈõ¡£4¡¢ÓëάÀ­ÅÁÃס¢Ïõ±½µØÆ½Í¬ÓÃʱ£¬±¾Æ·µÄѪҩŨ¶ÈÔö¸ß¡£5¡¢±¾Æ·¿ÉÔö¸ßµØ¸ßÐÁµÄѪŨ¶È£¬Í¬ÓÃʱÐë°ÑÎȵ÷ÕûµØ¸ßÐÁµÄ¼ÁÁ¿¡£6¡¢±¾Æ·¿É¼ÓÇ¿¿Ú·þ¿¹ÌÇÄò²¡Ò©µÄ×÷Óá£7¡¢±¾Æ·Ó뿹¸ßѪѹҩͬÓÃʱ¿ÉÓ°Çå´àÕߵĽµÑ¹³ÉЧ¡£8¡¢±¾Æ·²»Ó¦Óë±û»ÇÊæÍ¬Óã¬ÒòºóÕß¿ÉÏÔÖø½µµÍ±¾Æ·ÉöÔà¶Ï¸ùÂÊ(½µµÍ66%)ºÍµ°°×½áºÏÂÊ(½µµÍ28%)£¬µ¼ÖÂѪҩŨ¶ÈÔö¸ß£¬¶øÓÐÒýÆðÖж¾µÄΣÏÕ¡£9¡¢±¾Æ·¿É½µµÍ¼×°±µûßʵÄÉø³ö£¬Ôö¸ßÆäѪŨ¶È£¬ÉõÖÁ¿É´ïÖж¾Ë®Æ½£¬¹Ê±¾Æ·²»Ó¦ÓëÖлò´ó¼ÁÁ¿¼×°±µûßÊͬÓá£

¡¾Ò©Îï¹ýÁ¿¡¿·þÓÃͨÀý¼ÁÁ¿µÄ5¡«10±¶¿Éµ¼ÖÂÊÈ˯¡¢¶ñÐÄ¡¢Å»ÍºÍÉϸ¹²¿ÌÛÍ´¡£´ó¼ÁÁ¿µÄͪÂå·Ò¿ÉÒýÆðºôÎüÒÖÔìºÍ»èµ¹¡£Î¸³¦Â·³öѪ¡¢µÍѪѹ¡¢¸ßѪѹ»ò¼±ÐÔÉöÖ°ÄÜË¥½ßÒ²¿É²úÉú£¬µ«½ÏÉÙ¼û¡£·þÒ©³¬Á¿Ê±Ó¦×÷´¹Î£´¦Öã¬Ô̺¬´ßÍ»òϴθ¡¢¿Ú·þ»îÐÔ̼¡¢¿¹ËáÒ©»ò(ºÍ)ÀûÄò¼Á£¬²¢´ÍÓë¼ì²â¼°ÆäËûÖ§³ÖÒ½ÖΡ£

¡¾Ò©Àí¶¾Àí¡¿±¾Æ·Îª·¼Ïã»ù±ûËáÑÜÉúÎÊô·ÇçÞÌ忹Ñ×ÕòÍ´Ò©¡£±¾Æ·³ýÒÖÔì»·ÑõºÏø±íÉÐÓп϶¨ÒÖÔìÖ¬Ñõø¼°Ï÷¼õ»º¼¤ëĵÄ×÷Ó㬴Ӷø¼õÇáÑ×֢ΣÏÕ²¿Î»ÌÛÍ´¸Ð´¥¡£Òò»º¼¤ëÄÓëǰÁÐÏÙËØÒ»Â·¿ÉÒýÆðÌÛÍ´¡£»º¼¤ëÄ»¹¿ÉÒýÆð×Ó¹¬ÊÕËõ£¬¹Ê±¾Æ·ÓÃÓÚÍ´¾­£¬ÖØÒªÊÇͨ¹ýÒÖÔ컺¼¤ëÄ£¬´Ó¶øÒÖÔì×Ó¹¬ÊÕËõºÍÕòÍ´¶øÆðµ½ÁÆÐ§¡£±¾Æ·ÉÐÓп϶¨µÄÖÐÊàÐÔÕòÍ´×÷Óá£

¼±ÐÔ¶¾ÐÔÊÔÑéÁ˾֣º´óÊó¾­¿ÚLD50Ϊ101mg/kg¡£

¡¾Ò©´ú¶¯Á¦Ñ§¡¿¿Ú·þÒ×ÎüÊÕ¡£ÓëʳƷ¡¢ÄÌÀàͬ·þʱÎüÊÕ¼õÂý£¬µ«ÎüÊÕÈÔ½ÏÆëÈ«¡£Ò»´Î¸øÒ©ºóÔ¼0£®5¡«2Ó×ʱѪҩŨ¶È´ï·åÖµ¡£Ñª½¬µ°°×½áºÏÂÊΪ99%(ÀÏÄêÈ˿ɽϵÍ)¡£T1/2Ϊ1.6¡«4Ó×ʱ(¾ùÔÈ3Ó×ʱ)£¬60%ÓÚ24Ó×ʱÄÚ×ÔÄòÖÐÅųö£¬ÖØÒªÒÔÆÏÌÑÌÇÈ©Ëá½áºÏÎï´ó¾ÖÅųö£¬ÒÔÕæÏàÎïÅųö¿É´ï10%¡£ÀÏÄêÈË¡¢¸ÎÉöÖ°Äܲ»È«Õ߯ä¶Ï¸ùÂʽµÂä22%¡«50%¡£

¡¾Öü²Ø¡¿Õڹ⣬ÃÜ·â(10-30¡æ)±£Áô¡£

¡¾°ü×°¡¿ÂÁ²­×°¡£12Á£/ºÐ¡£

¡¾ÓÐЧÆÚ¡¿36¸öÔ¡£

¡¾Ö´Ðг߶ȡ¿¡¶ÖйúÒ©µä¡·2015Äê°æ¶þ²¿

¡¾ºË×¼Îĺš¿¹úÒ©×¼×ÖH14021389

¡¾³ö²úÆóÒµ¡¿ÆóÒµÃû³Æ£ºÉ½Î÷rg»Ê¼ÒÊÓѶ̩ʢÔìÒ©ÓÐÏÞ¹«Ë¾

³ö²úµØÖ·£ºÉ½Î÷Ê¡´óͬÊо­¼Ã¼¼Êõ¿ª·¢ÇøµÚÒ»Ò½Ò©Ô°Çø

ÓÊÕþ±àÂ룺037300

µç»°ºÅÂ룺0352¡ª7290991

´«ÕæºÅÂ룺0352¡ª7290990

7baeebd19000606ffbc2abb4e1288207
ͪÂå·Ò³¦ÈܽºÄÒ
¡¾³É¡¡¡¡·Ý¡¿±¾Æ·ÖØÒª³É·ÝΪͪÂå·Ò¡£
¡¾Ö°ÄÜÖ÷ÖΡ¿ÓÃÓÚ¸÷Àà¹Ø½ÚÑס£
¡¾¹æ¡¡¡¡¸ñ¡¿50mg
¡¾ºË×¼Îĺš¿¹úÒ©×¼×ÖH14021389
²úÆ·×¢Ã÷

¡¾Ò©Æ·Ãû³Æ¡¿Í¨ÓÃÃû³Æ£ºÍªÂå·Ò³¦ÈܽºÄÒ

        Ó¢ÎÄÃû³Æ£ºKetoprofen Enteric-coated Capsules

        ººÓïÆ´Òô£ºTongluofen Changrong Jiaonang

¡¾³É·Ý¡¿±¾Æ·ÖØÒª³É·ÝΪͪÂå·Ò¡£Æä»¯Ì¨¸¦³ÆÎª£ºa-¼×»ù-3-±½¼×õ£»ù-±½ÒÒËá¡£

     Æä»¯Ñ§½á¹¹Ê½Îª£º

ͪÂå·Ò³¦ÈܽºÄÒ

     ·Ö×Óʽ£ºC16H14O3

     ·Ö×ÓÁ¿£º254.29

¡¾ÐÔ×´¡¿±¾Æ·ÄÚÈÝÎïΪ°×É«·ÛÄ©¡£

¡¾ÊÊÓ¦Ö¢¡¿ÓÃÓÚ¸÷Àà¹Ø½ÚÑ×£ºÀà·çʪ¹Ø½ÚÑס¢¹ÇÐԹؽÚÑס¢Ç¿Ö±ÐÔ¼¹ÖùÑס¢Í´·çÐԹؽÚÑ׵ȵĹؽÚÍ´¡¢Ö×ÒÔ¼°¸÷ÀàÌÛÍ´£¬ÈçÍ´¾­¡¢ÑÀÍ´¡¢ÊÖÊõºóÍ´¡¢°©ÐÔÌÛÍ´µÈ¡£

¡¾¹æ¸ñ¡¿50mg

¡¾Ó÷¨ÓÃÁ¿¡¿¿Ú·þ³ÉÈ˳£ÓÃÁ¿£º1¡¢¿¹·çʪ£¬Ò»´Î50mg£¬Ò»ÈÕ3¡«4´Î¡£×î´óÓÃÁ¿Ò»Ìì200mg£»2¡¢Ò½ÖÎÍ´¾­£¬Ò»´Î50mg£¬Ã¿6¡«8Ó×ʱ1´Î£¬±ØÒªÊ±¿ÉÔöÖÁÿ´Î75mg¡£ÎªÔ¤·À¶Ôθ³¦Â·´Ì¼¤£¬Ó¦·¹ºó·þÓã¬Õû¸ö½ºÄÒÍÌ·þ¡£

¡¾²»Á¼·´Ó³¡¿1¡¢Î¸³¦Â··´Ó³½Ï³£¼û£¬Èçθ²¿ÌÛÍ´»ò²»ÊÊ¡¢ÕÍÆø¡¢¶ñÐÄ¡¢Å»Í¡¢Ê³Óû¼õÍË¡¢¸¹Ðº¡¢±ãÃØµÈ£¬ÑϳÁÕ߿ɳöÏÖÉÏÏû»¯Â·À£Ññ¡¢³öѪ¼°´©¿×¡£2¡¢¹ýÃô·´Ó³£º¹ýÃôÐÔÆ¤Ñס¢Æ¤·ôðþÑ÷¡¢°þÍÑÐÔÆ¤Ñס¢ºíÍ·Ë®Öס¢Ö§Æø¹Ü¾·ÂÎ(¹ýÃôÐÔ)µÈ¡£3¡¢ÑÛ£ºÊÓÁ¦ÍÌÍ¡¢ÊÓÍøÄ¤³öѪ¡£4¡¢ÐÄѪ¹Üϵͳ£ºÐÄÂɲ»Æë¡¢ÑªÑ¹Éý¸ß¡¢Ðļ¡£5¡¢ÖÐÊàÉñ¾­ÏµÍ³£ºÍ·ÔΡ¢Í·Í´¡¢¶úÃù¡¢ÌýÁ¦½µÂä¡¢ÐÄÁéÑÏÖØ¡¢ÐÄÁéÒÖÓô¡¢»Ã¾õ¡¢ÊÈ˯¡¢ÊÖ½ÅÂéľµÈ¡£6¡¢¸ÎÉö£º¸ÎÇÖº¦¡¢ÉöÖ°ÄܽµÂä¡¢¼äÖÊÐÔÉöÑס¢Éö²¡¡£7¡¢ÑªÒºÏµÍ³£º±Çô¬¡¢Á£Ï¸°ûÏ÷¼õ¡¢ÑªÓ×°åÏ÷¼õ¡¢ÈÜѪÐÔѪÐéµÈ¡£8¡¢ÆäËü£ºË®äóÁô(Ìå³ÁÔö³¤¿ì¡¢ÄòÁ¿Ï÷¼õ¡¢Ã沿ˮÖ×µÈ)¡¢¿ÚÇ»Ñס¢¶àº¹µÈ¡£

¡¾½û¼É¡¿1¡¢¶Ô°¢Ë¾Æ¥ÁÖ»òÆäËû·ÇçÞÌ忹Ñ×Ò©ÓйýÃôÕߣ»2¡¢ÓлÐÔÏû»¯ÐÔÀ£ÑñÕß¡£

¡¾µ±¿àÖÔÏî¡¿1¡¢½»²æ¹ýÃô£º¶Ô°¢Ë¾Æ¥ÁÖ»òÆäËû·ÇçÞÌ忹Ñ×Ò©¹ýÃôÕߣ¬±¾Æ·¿ÉÓн»²æ¹ýÃô·´Ó³¡£¶Ô°¢Ë¾Æ¥ÁÖ¹ýÃôµÄÏø´­»¼Õߣ¬±¾Æ·Ò²¿ÉÒýÆðÖ§Æø¹Ü¾·ÂΡ£2¡¢ÓÐÏÂÁÐÇé¿öÕßÓ¦É÷Ó㺢ÙÏø´­£¬ÓÃÒ©ºó¿É¼Ó³Á£»¢ÚÐÄÖ°Äܲ»È«¡¢¸ßѪѹ¡¢ÉöÖ°Äܲ»È«¡¢¸ÎÓ²»¯»¼Õߣ¬ÓÃÒ©ºó¿É¼Ó³ÁË®ÄÆäóÁô£¬ÉõÖÁµ¼ÖÂÐÄ¡¢¸Î¡¢ÉöÖ°ÄÜË¥½ß¡£¢ÛѪÓѲ¡»òÆäËû³öѪÐÔ¼²²¡(Ô̺¬ÄýѪ×è°­¼°ÑªÓ×°åÖ°ÄÜÒì³£)£¬ÓÃÒ©ºó³öѪ¹¦·òµ¢¸é£¬³öѪƫ²î¼Ó³Á£»¢ÜÓÐÏû»¯Â·À£Ññ²¡Ê·Õߣ¬ÀûÓñ¾Æ·Ê±Ò׳öÏÖθ³¦Â·¸±×÷Óã¬Ô̺¬²úÉúеÄÀ£Ññ£»3¡¢±¾Æ·ÎªÒ½ÖιؽÚÑ׵ĶÔÖ¢Ò©ÎÓÃÒ©ÊýÌìÖÁ1ÖܼûЧ£¬´ï×î´óÁÆÐ§ÐèÂ½ÐøÓÃÒ©2¡«3ÖÜ¡£±ØÐëͬʱ½øÐв¡ÒòÒ½ÖΡ£4¡¢ÉöÖ°Äܲ»È«ÕßÓ¦×ÃÇé¼õÁ¿¡£5¡¢ÎªÁËÏ÷¼õ¶Ôθ³¦Â·´Ì¼¤£¬¿ÉÓëʳƷͬ·þ»ò·¹ºó·þÓ᣶Լ±Ðèֹʹ»¼Õߣ¬¿ÉÓÚ½øÊ³Ç°30·ÖÖÓ»ò½øÊ³ºó2Ó×ʱ·þÒ©¡£6¡¢³Ö¾ÃÓÃҩʱӦ¶¨ÆÚËæÕ²é³­ÑªÏ󼰸Ρ¢ÉöÖ°ÄÜ¡£Ò»µ©³öÏÖθ³¦Â·³öѪ¡¢¸ÎÉöÖ°ÄÜÇÖº¦¡¢ÊÓÁ¦×è°­¡¢ÐÄÁéÒì³£¡¢ÑªÏóÒì³£¼°¹ýÃô·´Ó³µÈÒì³£Çé¿ö£¬¸Ãµ±¼´Í£Ò©¡¢¾ÍÕï¡£7¡¢¶Ô³¢ÊÔÊҲ鳭µÄ×ÌÈÅ£º¢ÙÓÉÓÚ±¾Æ·¶ÔѪÓ×°åÜöÝÍÓÐÒÖÔì×÷Ó㬿Éʹ³öѪ¹¦·òµ¢¸é3¡«4Ã룻¢Ú±¾Æ·¿ÉÊ¹ÑªÄÆÅ¨¶È½µµÍ£¬Ñªºìµ°°×¼°ºìϸ°ûѹ»ý½µµÍ£»¢Û±¾Æ·¿ÉÖÂѪÇå¼îÐÔÁ×Ëáø¡¢ÈéËáÍÑÇâø¼°×ª°±Ã¸Éý¸ß£»¢ÜÓÉÓÚ±¾Æ·ÔÚÄòÖдúл²úÆ·µÄ×ÌÈÅ£¬¿ÉÓ°ÏìÄò17Ò»ôÇÆ¤ÖÊÀà¹Ì´¼(17-OHCS)µÄ²â¶¨Á˾Ö¡£

¡¾Ôи¾¼°²¸ÈéÆÚ¸¾Å®ÓÃÒ©¡¿Ôи¾¼°²¸ÈéÆÚ¸¾Å®²»ÒËÀûÓá£

¡¾¶ùͯÓÃÒ©¡¿Éв»Ã÷È·¡£

¡¾ÀÏÄêÓÃÒ©¡¿ÀÏÄêÈËÀûÓñ¾Æ·Ê±Ñª½¬µ°°×½áºÏÂʼ°Ò©ÎïÅųö¿ìÂʿɼõµÍ£¬µ¼ÖÂѪҩŨ¶ÈÉý¸ß¼°°ëË¥ÆÚµ¢¸é£¬Òò¶øÐè°ÑÎȼÁÁ¿µ÷Õû¡£ÓÈÆä´óÓÚ70ËêÕߣ¬ÆðÍ·¿ÉÓðëÁ¿£¬ÈçÎÞЧÇÒÄÍÊܺ㬿ÉÖð²½Ôö³¤ÖÁ³£ÓÃÁ¿£¬µ«Ó¦Ç×êǼ໤¡£

¡¾Ò©ÎïÏ໥×÷Óá¿1¡¢Òû¾Æ»òÓëÆäËû·ÇçÞÌ忹Ñ×ҩͬÓÃʱÔö³¤Î¸³¦Â·²»Á¼·´Ó³¼°³öѪƫ²î¡£³Ö¾ÃÓë¶ÔÒÒõ£°±»ù·ÓͬÓÃʱ¿ÉÔö³¤¶ÔÉöÔàµÄ¶¾¸±×÷Óá£2¡¢Óë¸ÎËØ¡¢Ë«Ïã¶¹ËØµÈ¿¹ÄýÒ©¼°ÑªÓ×°åÜöÝÍÒÖÔìҩͬÓÃʱÓÐÔö³¤³öѪµÄΣÏÕ¡£3¡¢Óëß»ÈûÃ×ͬÓÃʱ£¬ºóÕßµÄÅÅÄÆºÍ½µÑ¹×÷ÓüõÈõ¡£4¡¢ÓëάÀ­ÅÁÃס¢Ïõ±½µØÆ½Í¬ÓÃʱ£¬±¾Æ·µÄѪҩŨ¶ÈÔö¸ß¡£5¡¢±¾Æ·¿ÉÔö¸ßµØ¸ßÐÁµÄѪŨ¶È£¬Í¬ÓÃʱÐë°ÑÎȵ÷ÕûµØ¸ßÐÁµÄ¼ÁÁ¿¡£6¡¢±¾Æ·¿É¼ÓÇ¿¿Ú·þ¿¹ÌÇÄò²¡Ò©µÄ×÷Óá£7¡¢±¾Æ·Ó뿹¸ßѪѹҩͬÓÃʱ¿ÉÓ°Çå´àÕߵĽµÑ¹³ÉЧ¡£8¡¢±¾Æ·²»Ó¦Óë±û»ÇÊæÍ¬Óã¬ÒòºóÕß¿ÉÏÔÖø½µµÍ±¾Æ·ÉöÔà¶Ï¸ùÂÊ(½µµÍ66%)ºÍµ°°×½áºÏÂÊ(½µµÍ28%)£¬µ¼ÖÂѪҩŨ¶ÈÔö¸ß£¬¶øÓÐÒýÆðÖж¾µÄΣÏÕ¡£9¡¢±¾Æ·¿É½µµÍ¼×°±µûßʵÄÉø³ö£¬Ôö¸ßÆäѪŨ¶È£¬ÉõÖÁ¿É´ïÖж¾Ë®Æ½£¬¹Ê±¾Æ·²»Ó¦ÓëÖлò´ó¼ÁÁ¿¼×°±µûßÊͬÓá£

¡¾Ò©Îï¹ýÁ¿¡¿·þÓÃͨÀý¼ÁÁ¿µÄ5¡«10±¶¿Éµ¼ÖÂÊÈ˯¡¢¶ñÐÄ¡¢Å»ÍºÍÉϸ¹²¿ÌÛÍ´¡£´ó¼ÁÁ¿µÄͪÂå·Ò¿ÉÒýÆðºôÎüÒÖÔìºÍ»èµ¹¡£Î¸³¦Â·³öѪ¡¢µÍѪѹ¡¢¸ßѪѹ»ò¼±ÐÔÉöÖ°ÄÜË¥½ßÒ²¿É²úÉú£¬µ«½ÏÉÙ¼û¡£·þÒ©³¬Á¿Ê±Ó¦×÷´¹Î£´¦Öã¬Ô̺¬´ßÍ»òϴθ¡¢¿Ú·þ»îÐÔ̼¡¢¿¹ËáÒ©»ò(ºÍ)ÀûÄò¼Á£¬²¢´ÍÓë¼ì²â¼°ÆäËûÖ§³ÖÒ½ÖΡ£

¡¾Ò©Àí¶¾Àí¡¿±¾Æ·Îª·¼Ïã»ù±ûËáÑÜÉúÎÊô·ÇçÞÌ忹Ñ×ÕòÍ´Ò©¡£±¾Æ·³ýÒÖÔì»·ÑõºÏø±íÉÐÓп϶¨ÒÖÔìÖ¬Ñõø¼°Ï÷¼õ»º¼¤ëĵÄ×÷Ó㬴Ӷø¼õÇáÑ×֢ΣÏÕ²¿Î»ÌÛÍ´¸Ð´¥¡£Òò»º¼¤ëÄÓëǰÁÐÏÙËØÒ»Â·¿ÉÒýÆðÌÛÍ´¡£»º¼¤ëÄ»¹¿ÉÒýÆð×Ó¹¬ÊÕËõ£¬¹Ê±¾Æ·ÓÃÓÚÍ´¾­£¬ÖØÒªÊÇͨ¹ýÒÖÔ컺¼¤ëÄ£¬´Ó¶øÒÖÔì×Ó¹¬ÊÕËõºÍÕòÍ´¶øÆðµ½ÁÆÐ§¡£±¾Æ·ÉÐÓп϶¨µÄÖÐÊàÐÔÕòÍ´×÷Óá£

¼±ÐÔ¶¾ÐÔÊÔÑéÁ˾֣º´óÊó¾­¿ÚLD50Ϊ101mg/kg¡£

¡¾Ò©´ú¶¯Á¦Ñ§¡¿¿Ú·þÒ×ÎüÊÕ¡£ÓëʳƷ¡¢ÄÌÀàͬ·þʱÎüÊÕ¼õÂý£¬µ«ÎüÊÕÈÔ½ÏÆëÈ«¡£Ò»´Î¸øÒ©ºóÔ¼0£®5¡«2Ó×ʱѪҩŨ¶È´ï·åÖµ¡£Ñª½¬µ°°×½áºÏÂÊΪ99%(ÀÏÄêÈ˿ɽϵÍ)¡£T1/2Ϊ1.6¡«4Ó×ʱ(¾ùÔÈ3Ó×ʱ)£¬60%ÓÚ24Ó×ʱÄÚ×ÔÄòÖÐÅųö£¬ÖØÒªÒÔÆÏÌÑÌÇÈ©Ëá½áºÏÎï´ó¾ÖÅųö£¬ÒÔÕæÏàÎïÅųö¿É´ï10%¡£ÀÏÄêÈË¡¢¸ÎÉöÖ°Äܲ»È«Õ߯ä¶Ï¸ùÂʽµÂä22%¡«50%¡£

¡¾Öü²Ø¡¿Õڹ⣬ÃÜ·â(10-30¡æ)±£Áô¡£

¡¾°ü×°¡¿ÂÁ²­×°¡£12Á£/ºÐ¡£

¡¾ÓÐЧÆÚ¡¿36¸öÔ¡£

¡¾Ö´Ðг߶ȡ¿¡¶ÖйúÒ©µä¡·2015Äê°æ¶þ²¿

¡¾ºË×¼Îĺš¿¹úÒ©×¼×ÖH14021389

¡¾³ö²úÆóÒµ¡¿ÆóÒµÃû³Æ£ºÉ½Î÷rg»Ê¼ÒÊÓѶ̩ʢÔìÒ©ÓÐÏÞ¹«Ë¾

³ö²úµØÖ·£ºÉ½Î÷Ê¡´óͬÊо­¼Ã¼¼Êõ¿ª·¢ÇøµÚÒ»Ò½Ò©Ô°Çø

ÓÊÕþ±àÂ룺037300

µç»°ºÅÂ룺0352¡ª7290991

´«ÕæºÅÂ룺0352¡ª7290990