jk.zdjt.com.png?v=1
8eff65654bbb185427781fffaa4d0372
×¢ÉäÓÃÁòË᳤´ºÐ¼î
¡¾³É¡¡¡¡·Ý¡¿±¾Æ·ÖØÒª³É·ÝΪÁòË᳤´ºÐ¼î¡£
¡¾Ö°ÄÜÖ÷ÖΡ¿¼±ÐÔ°×Ѫ²¡ £¬ÓÈÆäÊǶùͯ¼±ÐÔ°×Ѫ²¡ £¬¶Ô¼±ÐÔÁܰÍϸ°û°×Ѫ²¡ÁÆÐ§ÏÔÖø¡£
¡¾¹æ¡¡¡¡¸ñ¡¿1mg
¡¾ºË×¼Îĺš¿¹úÒ©×¼×ÖH14020811
²úÆ·×¢Ã÷

¡¾Ò©Æ·Ãû³Æ¡¿Í¨ÓÃÃû³Æ£º×¢ÉäÓÃÁòË᳤´ºÐ¼î

        Ó¢ÎÄÃû³Æ£ºVincristine Sulfate for Injection

        ººÓïÆ´Òô£ºZhusheyong LiusuanChangchunxinjian

¡¾³É·Ý¡¿±¾Æ·ÖØÒª³É·ÝΪÁòË᳤´ºÐ¼î¡£

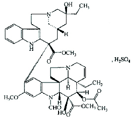
     Æä½á¹¹Ê½Îª£º

×¢ÉäÓÃÁòË᳤´ºÐ¼î

     ·Ö×Óʽ£ºC46H56N4O10¡¤H2SO4

     ·Ö×ÓÁ¿£º923.04

     È«Êý¸¨ÁÏÃû³ÆÎª£º¸Ê¶´¼

¡¾ÐÔ×´¡¿±¾Æ·Îª°×É«»òÀà°×É«µÄÊèËÉ×´»òÎÞ¶¨ÐιÌÌå £»ÓÐÒýʪÐÔ £»Óö¹â»òÈÈÒױ仯¡£

¡¾ÊÊÓ¦Ö¢¡¿1¡¢¼±ÐÔ°×Ѫ²¡ £¬ÓÈÆäÊǶùͯ¼±ÐÔ°×Ѫ²¡ £¬¶Ô¼±ÐÔÁܰÍϸ°û°×Ѫ²¡ÁÆÐ§ÏÔÖø¡£2¡¢¶ñÐÔÁܰÍÁö¡£3¡¢Éúֳϸ°ûÖ×Áö¡£4¡¢Ó×ϸ°û·Î°© £¬ÓÈÎÄ׸Áö¡¢Éöĸϸ°ûÁö¡¢Éñ¾­Ä¸Ï¸°ûÁö¡£5¡¢ÈéÏÙ°©¡¢ÂýÐÔÁܰÍϸ°û°×Ѫ²¡¡¢Ïû»¯Â·°©¡¢ÐþÉ«ËØÁö¼°¶à·¢ÐÔ¹ÇËèÁöµÈ¡£

¡¾¹æ¸ñ¡¿1mg

¡¾Ó÷¨ÓÃÁ¿¡¿³ÉÈ˼ÁÁ¿1¡«2mg(»ò1.4mg/©O)×î´ó²»´óÓÚ2mg £¬´ºÇï´óÓÚ65ËêÕß £¬×î´óÿ´Î1mg¡£¶ùͯ75¦Ìg/kg»ò2.0mg/©O £¬Ã¿ÖÜ1´Î¾²Âö×¢Éä»òÍ»Èë¡£½áºÏ»¯ÁÆÊÇÁ¬ÓÃ2ÖÜΪһÖÜÆÚ¡£

¡¾²»Á¼·´Ó³¡¿1¡¢¼ÁÁ¿ÏÞ¶ÈÐÔ¶¾ÐÔÊÇÉñ¾­ÏµÍ³¶¾ÐÔ £¬ÖØÒªÒýÆð±íÖÜÉñ¾­Ö¢×´ £¬ÈçÊÖÖ¸¡¢Éñ¾­¶¾ÐÔµÈ £¬ÓëÀÛ»ýÁ¿ÓйØ¡£×ãÖºÂéľ¡¢ëì·´Éä³Õ¶Û»òÒþû £¬±íÖÜÉñ¾­Ñס£¸¹Í´¡¢±ãÃØ £¬ÂéľÐÔ³¦¹£×èż¼û¡£»î¶¯Éñ¾­¡¢¸Ð´¥Éñ¾­ºÍÄÔÉñ¾­Ò²¿ÉÊܵ½·ÛËé £¬²¢²úÉúÏàÓ¦Ö¢×´¡£Éñ¾­¶¾ÐÔ³£²úÉúÓÚ40ËêÒÔÉÏÕß £¬¶ùͯµÄÄÍÊÜÐÔºÃÓÚ³ÉÈË £¬¶ñÐÔÁܰÍÁö²¡È˳öÏÖÉñ¾­¶¾ÐÔµÄÆ«²î¸ßÓÚÆäËûÖ×Áö²¡ÈË¡£2¡¢¹ÇËèÒÖÔìºÍÏû»¯Â··´Ó³½ÏÇá¡£3¡¢Óв¿ÃÅ×éÖ¯´Ì¼¤×÷Óà £¬Ò©Òº²»Äܱí© £¬²»È»¿ÉÒýÆð²¿ÃÅ»µËÀ¡£4¡¢¿É¼ûÍÑ·¢ £¬Å¼¼ûѪѹµÄŤת¡£

¡¾½û¼É¡¿Éв»Ã÷È·¡£

¡¾µ±¿àÖÔÏî¡¿1¡¢½öÓÃÓÚ¾²Âö×¢Éä £¬Â©ÓÚÆ¤Ï¿ɵ¼ÖÂ×éÖ¯»µËÀ¡¢·äÎÑÖ¯Ñס£Ò»µ©Â©³ö»ò¿ÉÒɱí© £¬¸Ãµ±¼´ÖÕ³¡ÊäÒº £¬²¢ÓèÏàÓ¦´¦ÖÃ(²Î¿¼µª½æ±í©µÄ´¦ÖÃ)¡£2¡¢Ô¤·ÀÒ©Òº½¦ÈëÑÛÄÚ £¬Ò»µ©²úÉú¸Ãµ±¼´ÓôóÁ¿ÉúÀíÑÎË®³åË¢ £¬ÒÔÀ´ÀûÓõØÈûÃ×ËÉÑ۸ౠ£»¤¡£3¡¢Í»Èë¾²ÂöʱԤ·ÀÈÕ¹âÖ±½ÓÕÕÉä¡£4¡¢¸ÎÖ°ÄÜÒ쳣ʱ¼õÁ¿Ê¹Óá£

¡¾Ôи¾¼°²¸ÈéÆÚ¸¾Å®ÓÃÒ©¡¿Éв»Ã÷È·¡£

¡¾¶ùͯÓÃÒ©¡¿Éв»Ã÷È·¡£

¡¾ÀÏÄêÓÃÒ©¡¿Éв»Ã÷È·¡£

¡¾Ò©ÎïÏ໥×÷Óá¿1¡¢ßÁ¿©ÏµÁп¹Õæ¾ú¼Á(ÒÁÇú¿µßò) £¬Ôö³¤¼¡ÈâÉñ¾­ÏµÍ³µÄ¸±×÷Óá£Èç·¢ÏÖÓи±×÷Óà £¬Ó¦½øÐмõÁ¿¡¢ÔÝÍ £»òÍ£Ò©µÈÊʵ±´¦Öá£ÒÁÇú¿µßòÓйÊÕϸÎϸ°ûÉ«ËØP-450 3AµÄ×÷Óà £¬³¤´ºÐ¼îͨ¹ý¸Îϸ°ûÈ¾É«ËØP-450 3A´úл £¬ºÏÓÿÉʹ³¤´ºÐ¼î´úлÊÜÒÖÔì¡£2¡¢Óë±½Í×ӢįºÏÓà £¬½µµÍ±½Í×ӢįÎüÊÕ £¬»òʹ´úл¿º½ø¡£3¡¢Ó뺬²¬µÄ¿¹ÑÇ¡¢¶ñÐÔÖ×Áö¼ÁºÏÓà £¬¿ÉÄܼÓÇ¿µÚ8¶ÔÄÔÉñ¾­×è°­¡£4¡¢ÓëL-Ì춬õ£°·Ã¸ºÏÓà £¬¿ÉÄܼÓÇ¿Éñ¾­ÏµÍ³¼°ÑªÒºÏµÍ³µÄ×è°­¡£Îª½«¶¾ÐÔ½ÚÔìµ½×îÓ× £¬¿É½«ÁòË᳤´ºÐ¼îÔÚL-Ì춬õ£°·Ã¸¸øÒ©Ç°12¡«24Ó×ʱÒÔǰʹÓá£

¡¾Ò©Îï¹ýÁ¿¡¿Éв»Ã÷È·¡£

¡¾Ò©Àí¶¾Àí¡¿³¤´ºÐ¼îΪ¼ÐÖñÌÒ¿ÆÖ²Îﳤ´º»¨ÖÐÌáÈ¡µÄÓÐЧ³É·Ö¡ £¿¹Ö×Áö×÷ÓðеãÊÇ΢¹Ü £¬ÖØÒªÒÖÔì΢¹Üµ°°×µÄ¾ÛºÏ¶øÓ°Ïì·Ä´¸Ìå΢¹ÜµÄÐγÉ¡£Ê¹ÓÐË¿¸îÁÑÖÕ³¡ÓÚÖÐÆÚ¡ £»¹¿É×ÌÈŵ°°×ÖÊ´úл¼°ÒÖÔìRNA¶à¾ÛøµÄ»îÁ¦ £¬²¢ÒÖÔìϸ°ûĤÀàÖ¬ÖʵĺϳɺͰ±»ùËáÔÚϸ°ûĤÉϵÄתÔË¡£³¤´ºÐ¼î¶ÔÒÆÖ²ÐÔÖ×ÁöµÄÒÖÔì×÷ÓôóÓÚ³¤´º»¨¼îÇÒ¿¹ÁöÆ×¹ã¡£³ý¶Ô³¤´º»¨¼îÃô¸ÐµÄÁöÖêÓÐЧ±í £¬¶ÔÓ×ÊóRidgeway³É¹Ç׸Áö¡¢MeccaÁܰÍ׸Áö¡¢X-5563¹ÇËèÁöµÈÒ²ÓÐ×÷Óᣳ¤´ºÐ¼³¤´º»¨¼îºÍ³¤´ºµØÐÁÈýÕß¼äÎÞ½»²æÄÍÒ©¾°Ïó £¬³¤´ºÐ¼îÉñ¾­¶¾ÐÔÔÚÈýÕßÖÐ×îÇ¿¡£

¡¾Ò©´ú¶¯Á¦Ñ§¡¿¾²×¢³¤´ºÐ¼îºóѸ¿ìÉ¢²¼ÓÚ¸÷×éÖ¯ £¬Éñ¾­Ï¸°ûÄÚŨ¶È½Ï¸ß £¬ºÜÉÙ͸¹ýѪÄÔ·®Àé £¬ÄÔ¼¹ÒºÅ¨¶ÈÊÇѪ½¬Å¨¶ÈµÄ1/30¡«1/20¡£µ°°×½áºÏÂÊ75%¡£ÔÚ³ÉÈË £¬T1/2¦ÁÓ×ÓÚ5·ÖÖÓ £¬T1/2¦ÂΪ50¡«155·ÖÖÓ £¬Ä©ÉÒ½â³ýÏàT1/2¦Ã³¤´ï85Ó×ʱ¡£ÔÚ¸ÎÄÚ´úл £¬ÔÚµ¨Ö­ÖÐŨ¶È×î¸ß £¬ÖØÒªË浨֭Åųö £¬·à±ãÉø³ö70% £¬ÄòÖÐÉø³ö5%¡«16%¡£³¤´ºÐ¼îÄÜÑ¡ÔñÐԵؼ¯ÖÐÔÚ°©×éÖ¯ £¬¿ÉʹÔöֳϸ°ûͬ²½»¯ £¬½ø¶øÊ¹¿¹Ö×ÁöÒ©ÎïÔöЧ¡£

¡¾Öü²Ø¡¿Õڹ⠣¬ÃܹØ £¬ÔÚÀä´¦(2-10¡æ)±£Áô¡£

¡¾°ü×°¡¿Î÷ÁÔì¿×°¡£10Ö§/ºÐ¡£

¡¾ÓÐЧÆÚ¡¿24¸öÔÂ

¡¾Ö´Ðг߶ȡ¿¡¶ÖйúÒ©µä¡·2015Äê°æµÚÒ»²¹³ä±¾

¡¾ºË×¼Îĺš¿¹úÒ©×¼×ÖH14020811

¡¾³ö²úÆóÒµ¡¿ÆóÒµÃû³Æ£ºÉ½Î÷rg»Ê¼ÒÊÓѶ̩ʢÔìÒ©ÓÐÏÞ¹«Ë¾

        ³ö²úµØÖ·£ºÉ½Î÷Ê¡´óͬÊо­¼Ã¼¼Êõ¿ª·¢ÇøµÚÒ»Ò½Ò©Ô°Çø

        ÓÊÕþ±àÂ룺037300

        µç»°ºÅÂ룺0352¡ª7290991

        ´«ÕæºÅÂ룺0352¡ª7290990

8eff65654bbb185427781fffaa4d0372
×¢ÉäÓÃÁòË᳤´ºÐ¼î
¡¾³É¡¡¡¡·Ý¡¿±¾Æ·ÖØÒª³É·ÝΪÁòË᳤´ºÐ¼î¡£
¡¾Ö°ÄÜÖ÷ÖΡ¿¼±ÐÔ°×Ѫ²¡ £¬ÓÈÆäÊǶùͯ¼±ÐÔ°×Ѫ²¡ £¬¶Ô¼±ÐÔÁܰÍϸ°û°×Ѫ²¡ÁÆÐ§ÏÔÖø¡£
¡¾¹æ¡¡¡¡¸ñ¡¿1mg
¡¾ºË×¼Îĺš¿¹úÒ©×¼×ÖH14020811
²úÆ·×¢Ã÷

¡¾Ò©Æ·Ãû³Æ¡¿Í¨ÓÃÃû³Æ£º×¢ÉäÓÃÁòË᳤´ºÐ¼î

        Ó¢ÎÄÃû³Æ£ºVincristine Sulfate for Injection

        ººÓïÆ´Òô£ºZhusheyong LiusuanChangchunxinjian

¡¾³É·Ý¡¿±¾Æ·ÖØÒª³É·ÝΪÁòË᳤´ºÐ¼î¡£

     Æä½á¹¹Ê½Îª£º

×¢ÉäÓÃÁòË᳤´ºÐ¼î

     ·Ö×Óʽ£ºC46H56N4O10¡¤H2SO4

     ·Ö×ÓÁ¿£º923.04

     È«Êý¸¨ÁÏÃû³ÆÎª£º¸Ê¶´¼

¡¾ÐÔ×´¡¿±¾Æ·Îª°×É«»òÀà°×É«µÄÊèËÉ×´»òÎÞ¶¨ÐιÌÌå £»ÓÐÒýʪÐÔ £»Óö¹â»òÈÈÒױ仯¡£

¡¾ÊÊÓ¦Ö¢¡¿1¡¢¼±ÐÔ°×Ѫ²¡ £¬ÓÈÆäÊǶùͯ¼±ÐÔ°×Ѫ²¡ £¬¶Ô¼±ÐÔÁܰÍϸ°û°×Ѫ²¡ÁÆÐ§ÏÔÖø¡£2¡¢¶ñÐÔÁܰÍÁö¡£3¡¢Éúֳϸ°ûÖ×Áö¡£4¡¢Ó×ϸ°û·Î°© £¬ÓÈÎÄ׸Áö¡¢Éöĸϸ°ûÁö¡¢Éñ¾­Ä¸Ï¸°ûÁö¡£5¡¢ÈéÏÙ°©¡¢ÂýÐÔÁܰÍϸ°û°×Ѫ²¡¡¢Ïû»¯Â·°©¡¢ÐþÉ«ËØÁö¼°¶à·¢ÐÔ¹ÇËèÁöµÈ¡£

¡¾¹æ¸ñ¡¿1mg

¡¾Ó÷¨ÓÃÁ¿¡¿³ÉÈ˼ÁÁ¿1¡«2mg(»ò1.4mg/©O)×î´ó²»´óÓÚ2mg £¬´ºÇï´óÓÚ65ËêÕß £¬×î´óÿ´Î1mg¡£¶ùͯ75¦Ìg/kg»ò2.0mg/©O £¬Ã¿ÖÜ1´Î¾²Âö×¢Éä»òÍ»Èë¡£½áºÏ»¯ÁÆÊÇÁ¬ÓÃ2ÖÜΪһÖÜÆÚ¡£

¡¾²»Á¼·´Ó³¡¿1¡¢¼ÁÁ¿ÏÞ¶ÈÐÔ¶¾ÐÔÊÇÉñ¾­ÏµÍ³¶¾ÐÔ £¬ÖØÒªÒýÆð±íÖÜÉñ¾­Ö¢×´ £¬ÈçÊÖÖ¸¡¢Éñ¾­¶¾ÐÔµÈ £¬ÓëÀÛ»ýÁ¿ÓйØ¡£×ãÖºÂéľ¡¢ëì·´Éä³Õ¶Û»òÒþû £¬±íÖÜÉñ¾­Ñס£¸¹Í´¡¢±ãÃØ £¬ÂéľÐÔ³¦¹£×èż¼û¡£»î¶¯Éñ¾­¡¢¸Ð´¥Éñ¾­ºÍÄÔÉñ¾­Ò²¿ÉÊܵ½·ÛËé £¬²¢²úÉúÏàÓ¦Ö¢×´¡£Éñ¾­¶¾ÐÔ³£²úÉúÓÚ40ËêÒÔÉÏÕß £¬¶ùͯµÄÄÍÊÜÐÔºÃÓÚ³ÉÈË £¬¶ñÐÔÁܰÍÁö²¡È˳öÏÖÉñ¾­¶¾ÐÔµÄÆ«²î¸ßÓÚÆäËûÖ×Áö²¡ÈË¡£2¡¢¹ÇËèÒÖÔìºÍÏû»¯Â··´Ó³½ÏÇá¡£3¡¢Óв¿ÃÅ×éÖ¯´Ì¼¤×÷Óà £¬Ò©Òº²»Äܱí© £¬²»È»¿ÉÒýÆð²¿ÃÅ»µËÀ¡£4¡¢¿É¼ûÍÑ·¢ £¬Å¼¼ûѪѹµÄŤת¡£

¡¾½û¼É¡¿Éв»Ã÷È·¡£

¡¾µ±¿àÖÔÏî¡¿1¡¢½öÓÃÓÚ¾²Âö×¢Éä £¬Â©ÓÚÆ¤Ï¿ɵ¼ÖÂ×éÖ¯»µËÀ¡¢·äÎÑÖ¯Ñס£Ò»µ©Â©³ö»ò¿ÉÒɱí© £¬¸Ãµ±¼´ÖÕ³¡ÊäÒº £¬²¢ÓèÏàÓ¦´¦ÖÃ(²Î¿¼µª½æ±í©µÄ´¦ÖÃ)¡£2¡¢Ô¤·ÀÒ©Òº½¦ÈëÑÛÄÚ £¬Ò»µ©²úÉú¸Ãµ±¼´ÓôóÁ¿ÉúÀíÑÎË®³åË¢ £¬ÒÔÀ´ÀûÓõØÈûÃ×ËÉÑ۸ౠ£»¤¡£3¡¢Í»Èë¾²ÂöʱԤ·ÀÈÕ¹âÖ±½ÓÕÕÉä¡£4¡¢¸ÎÖ°ÄÜÒ쳣ʱ¼õÁ¿Ê¹Óá£

¡¾Ôи¾¼°²¸ÈéÆÚ¸¾Å®ÓÃÒ©¡¿Éв»Ã÷È·¡£

¡¾¶ùͯÓÃÒ©¡¿Éв»Ã÷È·¡£

¡¾ÀÏÄêÓÃÒ©¡¿Éв»Ã÷È·¡£

¡¾Ò©ÎïÏ໥×÷Óá¿1¡¢ßÁ¿©ÏµÁп¹Õæ¾ú¼Á(ÒÁÇú¿µßò) £¬Ôö³¤¼¡ÈâÉñ¾­ÏµÍ³µÄ¸±×÷Óá£Èç·¢ÏÖÓи±×÷Óà £¬Ó¦½øÐмõÁ¿¡¢ÔÝÍ £»òÍ£Ò©µÈÊʵ±´¦Öá£ÒÁÇú¿µßòÓйÊÕϸÎϸ°ûÉ«ËØP-450 3AµÄ×÷Óà £¬³¤´ºÐ¼îͨ¹ý¸Îϸ°ûÈ¾É«ËØP-450 3A´úл £¬ºÏÓÿÉʹ³¤´ºÐ¼î´úлÊÜÒÖÔì¡£2¡¢Óë±½Í×ӢįºÏÓà £¬½µµÍ±½Í×ӢįÎüÊÕ £¬»òʹ´úл¿º½ø¡£3¡¢Ó뺬²¬µÄ¿¹ÑÇ¡¢¶ñÐÔÖ×Áö¼ÁºÏÓà £¬¿ÉÄܼÓÇ¿µÚ8¶ÔÄÔÉñ¾­×è°­¡£4¡¢ÓëL-Ì춬õ£°·Ã¸ºÏÓà £¬¿ÉÄܼÓÇ¿Éñ¾­ÏµÍ³¼°ÑªÒºÏµÍ³µÄ×è°­¡£Îª½«¶¾ÐÔ½ÚÔìµ½×îÓ× £¬¿É½«ÁòË᳤´ºÐ¼îÔÚL-Ì춬õ£°·Ã¸¸øÒ©Ç°12¡«24Ó×ʱÒÔǰʹÓá£

¡¾Ò©Îï¹ýÁ¿¡¿Éв»Ã÷È·¡£

¡¾Ò©Àí¶¾Àí¡¿³¤´ºÐ¼îΪ¼ÐÖñÌÒ¿ÆÖ²Îﳤ´º»¨ÖÐÌáÈ¡µÄÓÐЧ³É·Ö¡ £¿¹Ö×Áö×÷ÓðеãÊÇ΢¹Ü £¬ÖØÒªÒÖÔì΢¹Üµ°°×µÄ¾ÛºÏ¶øÓ°Ïì·Ä´¸Ìå΢¹ÜµÄÐγÉ¡£Ê¹ÓÐË¿¸îÁÑÖÕ³¡ÓÚÖÐÆÚ¡ £»¹¿É×ÌÈŵ°°×ÖÊ´úл¼°ÒÖÔìRNA¶à¾ÛøµÄ»îÁ¦ £¬²¢ÒÖÔìϸ°ûĤÀàÖ¬ÖʵĺϳɺͰ±»ùËáÔÚϸ°ûĤÉϵÄתÔË¡£³¤´ºÐ¼î¶ÔÒÆÖ²ÐÔÖ×ÁöµÄÒÖÔì×÷ÓôóÓÚ³¤´º»¨¼îÇÒ¿¹ÁöÆ×¹ã¡£³ý¶Ô³¤´º»¨¼îÃô¸ÐµÄÁöÖêÓÐЧ±í £¬¶ÔÓ×ÊóRidgeway³É¹Ç׸Áö¡¢MeccaÁܰÍ׸Áö¡¢X-5563¹ÇËèÁöµÈÒ²ÓÐ×÷Óᣳ¤´ºÐ¼³¤´º»¨¼îºÍ³¤´ºµØÐÁÈýÕß¼äÎÞ½»²æÄÍÒ©¾°Ïó £¬³¤´ºÐ¼îÉñ¾­¶¾ÐÔÔÚÈýÕßÖÐ×îÇ¿¡£

¡¾Ò©´ú¶¯Á¦Ñ§¡¿¾²×¢³¤´ºÐ¼îºóѸ¿ìÉ¢²¼ÓÚ¸÷×éÖ¯ £¬Éñ¾­Ï¸°ûÄÚŨ¶È½Ï¸ß £¬ºÜÉÙ͸¹ýѪÄÔ·®Àé £¬ÄÔ¼¹ÒºÅ¨¶ÈÊÇѪ½¬Å¨¶ÈµÄ1/30¡«1/20¡£µ°°×½áºÏÂÊ75%¡£ÔÚ³ÉÈË £¬T1/2¦ÁÓ×ÓÚ5·ÖÖÓ £¬T1/2¦ÂΪ50¡«155·ÖÖÓ £¬Ä©ÉÒ½â³ýÏàT1/2¦Ã³¤´ï85Ó×ʱ¡£ÔÚ¸ÎÄÚ´úл £¬ÔÚµ¨Ö­ÖÐŨ¶È×î¸ß £¬ÖØÒªË浨֭Åųö £¬·à±ãÉø³ö70% £¬ÄòÖÐÉø³ö5%¡«16%¡£³¤´ºÐ¼îÄÜÑ¡ÔñÐԵؼ¯ÖÐÔÚ°©×éÖ¯ £¬¿ÉʹÔöֳϸ°ûͬ²½»¯ £¬½ø¶øÊ¹¿¹Ö×ÁöÒ©ÎïÔöЧ¡£

¡¾Öü²Ø¡¿Õڹ⠣¬ÃܹØ £¬ÔÚÀä´¦(2-10¡æ)±£Áô¡£

¡¾°ü×°¡¿Î÷ÁÔì¿×°¡£10Ö§/ºÐ¡£

¡¾ÓÐЧÆÚ¡¿24¸öÔÂ

¡¾Ö´Ðг߶ȡ¿¡¶ÖйúÒ©µä¡·2015Äê°æµÚÒ»²¹³ä±¾

¡¾ºË×¼Îĺš¿¹úÒ©×¼×ÖH14020811

¡¾³ö²úÆóÒµ¡¿ÆóÒµÃû³Æ£ºÉ½Î÷rg»Ê¼ÒÊÓѶ̩ʢÔìÒ©ÓÐÏÞ¹«Ë¾

        ³ö²úµØÖ·£ºÉ½Î÷Ê¡´óͬÊо­¼Ã¼¼Êõ¿ª·¢ÇøµÚÒ»Ò½Ò©Ô°Çø

        ÓÊÕþ±àÂ룺037300

        µç»°ºÅÂ룺0352¡ª7290991

        ´«ÕæºÅÂ룺0352¡ª7290990