
¡¾Ò©Æ·Ãû³Æ¡¿Í¨ÓÃÃû³Æ£ººË»ÆËØÁ×ËáįעÉäÒº
Ó¢ÎÄÃû³Æ£ºRiboflavin Sodium Phosphate Injection
ººÓïÆ´Òô£ºHehuangsu Linsuanna Zhusheye
¡¾³É ·Ý¡¿±¾Æ·ÖØÒª³É·ÝΪºË»ÆËØÁ×ËáÄÆ£¬Æä»¯Ì¨¸¦³ÆÎªºË»ÆËØ5¡ä¨C£¨¶þÇâÁ×Ëáõ¥£©µ¥ÄÆÑζþË®ºÏÎï¡£
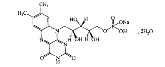
Æä½á¹¹Ê½Îª£º
·Ö×Óʽ£ºC17H20N4NaO9P¡¤2H2O
·Ö×ÓÁ¿£º514.36
¡¾ÐÔ ×´¡¿±¾Æ·Îª»ÆÉ«ÖÁ³È»ÆÉ«µÄ³ÎÃ÷ÒºÌ壻Óö¹âÒ×±äÖÊ¡£
¡¾ÊÊ Ó¦ Ö¢¡¿ºË»ÆËز¹³ä¼Á¡£ÓÃÓÚÓɺ˻ÆËز»×ãÒýÆðµÄ³³×ìÑס¢´½Ñס¢ÉàÑס¢ÑÛ½áĤÑ×¼°ÒõÄÒÑ׵ȼ²²¡µÄÒ½ÖΡ£
¡¾¹æ ¸ñ¡¿2ml£º5mg£¨°´ºË»ÆËؼƣ©¡¢2ml£º10mg£¨°´ºË»ÆËؼƣ©
¡¾Ó÷¨ÓÃÁ¿¡¿Æ¤Ï¡¢¼¡ÄÚ×¢Éä»ò¾²×¢¡£Ò»´Î5¡«30mg£¬Ò»ÈÕ1´Î¡£
¡¾²»Á¼·´Ó³¡¿1.ÉöÖ°ÄÜÕý³£Ê±£¬±¾Ò©ÏÕЩ²»²úÉú¶¾ÐÔ¡£
2.żÓйýÃô·´Ó³¡£
¡¾½û ¼É¡¿¶Ô±¾Ò©¹ýÃôÕß½ûÓá£
¡¾µ±¿àÖÔÏî¡¿´óÁ¿Ê¹Óñ¾Ò©ºóÄòÒº³Ê»ÆÉ«£¨»ò»ÆÂÌÉ«£©£¬Ò²¿ÉÒýÆðÀàËÆ¼××´ÏÙÖ°ÄÜ¿º½øÖ¢×´¡£
¡¾Ôи¾¼°²¸ÈéÆÚ¸¾Å®ÓÃÒ©¡¿1.±¾Ò©¶Ô»³Ì¥µÄÓ°ÏìÉв»Ã÷È·¡£
2.±¾Ò©¿ÉÅÅйÈëÈéÖ£¬µ«²¸ÈéÊǰ²È«µÄ¡£
¡¾¶ùͯÓÃÒ©¡¿Éв»Ã÷È·¡£
¡¾ÀÏÄêÓÃÒ©¡¿Éв»Ã÷È·¡£
¡¾Ò©ÎïÏ໥×÷Óῼ×ÑõÂÈÆÕ°·¿É½µµÍ±¾Ò©ÎüÊÕ¡£¹Ê²»Ò˺ÏÓá£
¡¾Ò©Îï¹ýÁ¿¡¿Éв»Ã÷È·¡£
¡¾Ò©Àí¶¾Àí¡¿Ò©Àí×÷Óà ±¾Æ·ÎªÎ¬ÉúËØÀàÒ©¡£ºË»ÆËØ£¨Î¬ÉúËØB2£©ÊÇÈËÌå³ÁÒªÓªÑøËØ£¬ÔÚÄÜÁ¿´úлÖÐÆð¹Ø¼ü×÷Óá£
±¾Ò©Îª»ÆËص¥ºËÜÕËᣨFMN£©ºÍ»ÆËØÏÙàÑßʶþºËÜÕËᣨFAD£©Ç°ÌåÒ©£¬¶øFMNºÍFADÊÇ»ÆËØÃ¸¼Ò×åµÄ³ÁÒª¸¨ÖúÒò×Ó¡£»ÆËØÃ¸´ß»¯ºÃ¶àÉú»¯·´Ó³£¬×îµäÐ͵ÄΪÑõ»¯»¹Ô·´Ó³£¬ËüÃÇÊÇϸ°ûºôÎüµÄ¹Ø¼üÒò×Ó¡£FADºÍ FMNÔÚÏßÁ£Ì嶯µ¯Á´ÖеÝÇ⣬Ôڴ˹ý³ÌÖвúÉúϸ°ûÄÜÁ¿¡£²»×ãʱ¿ÉÓ°Ïì»úÌåµÄÉúÎïÑõ»¯£¬Ê¹´úл²úÉú×è°£¬Æä²¡±ä¶à²û·¢Îª¿Ú¡¢ÑÛ¡¢±íÉúÖ³Æ÷²¿Î»µÄÑ×Ö¢¡£
¡¾Ò©´ú¶¯Á¦Ñ§¡¿ÎÞ±¾Ò©×¢Éä¸øÒ©µÄÒ©´ú¶¯Á¦Ñ§×ÊÁÏ¡£
¾ÝÎļþ×ÊÁÏ£¬ºË»ÆËؿڷþºó£¬ÖØÒªÔÚ½ü¶ÎÓ׳¦ÎüÊÕ£¬Ê³Æ·ÄÜÍÆ½ø¸ÃÆ·ÎüÊÕ£¬µ¨Ñμӿì¸ÃÆ·ÎüÊÕ¡£ÔÚ2¡«25mg¼ÁÁ¿ÁìÓòÄÚ£¬ÆäÉúÎïÀûÓöÈΪ50¡«60%£¬µ¥´Î¿Ú·þµÄ×î´óÎüÊÕÁ¿Îª27mg£¬³¬Á¿²¿ÃÅ´Ó·à±ãÖÐÉø³ö¡£»ÆËص¥ºËÜÕËᣨFMN£©ºÍ»ÆËØÏÙàÑßʶþºËÜÕËᣨFAD£©ÎüÊÕ½ÏÉÙ¡£±¾Ò©¾Ãž²ÂöÈë¸Î½øÈëѪҺѻ·£¬ÔÙ´ïµ½×éÖ¯¡£´ó²¿ÃÅѪÇåºË»ÆËر»°×µ°°×»òÃâÒßÇòµ°°×תÔË£¬Í¨¹ýŨ¶ÈÌݶÈÃÖÉ¢ÖÁϸ°ûÄÚ¡£ÔÚϸ°ûÄÚ£¬ºË»ÆËØÍ¨¹ý»ÆËؼ¤Ã¸×ª»»ÎªFMN£¬FMNÓÖͨ¹ýFADºÏ³Éøת»»³ÉΪFAD£¬FADÊÇ×éÖ¯Öк˻ÆËصÄÖØÒª´æÔÚ´ó¾Ö¡£³¬¹ýÉí¶Î±ØÒªÁ¿µÄºË»ÆËØÖØÒª´ÓÉöÔàÉø³ö£¬²¿ÃÅ´úл²úÆ·Ò²´ÓÉöÔàÅųö¡£±¾Ò©¿Ú·þ»ò¼¡Èâ×¢ÉäµÄ°ëË¥ÆÚΪ66¡«84·ÖÖÓ¡£
¡¾Öü ²Ø¡¿Õڹ⣬Ãܹأ¨10¡«30¡æ£©±£Áô¡£
¡¾°ü ×°¡¿°²ê³×°£¬10Ö§/ºÐ¡£
¡¾ÓРЧ ÆÚ¡¿12¸öÔ¡£
¡¾Ö´Ðг߶ȡ¿¡¶ÖйúÒ©µä¡·2015Äê°æ¶þ²¿
¡¾ºË×¼Îĺš¿¹úÒ©×¼×ÖH20093989
¡¾³ö²úÆóÒµ¡¿ÆóÒµÃû³Æ£ºÉ½Î÷rg»Ê¼ÒÊÓѶ̩ʢÔìÒ©ÓÐÏÞ¹«Ë¾
³ö²úµØÖ·£ºÉ½Î÷Ê¡´óͬÊо¼Ã¼¼Êõ¿ª·¢ÇøµÚÒ»Ò½Ò©Ô°Çø
ÓÊÕþ±àÂ룺037300
µç»°ºÅÂ룺0352-7290991
´«ÕæºÅÂ룺0352-7290990

¡¾Ò©Æ·Ãû³Æ¡¿Í¨ÓÃÃû³Æ£ººË»ÆËØÁ×ËáįעÉäÒº
Ó¢ÎÄÃû³Æ£ºRiboflavin Sodium Phosphate Injection
ººÓïÆ´Òô£ºHehuangsu Linsuanna Zhusheye
¡¾³É ·Ý¡¿±¾Æ·ÖØÒª³É·ÝΪºË»ÆËØÁ×ËáÄÆ£¬Æä»¯Ì¨¸¦³ÆÎªºË»ÆËØ5¡ä¨C£¨¶þÇâÁ×Ëáõ¥£©µ¥ÄÆÑζþË®ºÏÎï¡£
Æä½á¹¹Ê½Îª£º
·Ö×Óʽ£ºC17H20N4NaO9P¡¤2H2O
·Ö×ÓÁ¿£º514.36
¡¾ÐÔ ×´¡¿±¾Æ·Îª»ÆÉ«ÖÁ³È»ÆÉ«µÄ³ÎÃ÷ÒºÌ壻Óö¹âÒ×±äÖÊ¡£
¡¾ÊÊ Ó¦ Ö¢¡¿ºË»ÆËز¹³ä¼Á¡£ÓÃÓÚÓɺ˻ÆËز»×ãÒýÆðµÄ³³×ìÑס¢´½Ñס¢ÉàÑס¢ÑÛ½áĤÑ×¼°ÒõÄÒÑ׵ȼ²²¡µÄÒ½ÖΡ£
¡¾¹æ ¸ñ¡¿2ml£º5mg£¨°´ºË»ÆËؼƣ©¡¢2ml£º10mg£¨°´ºË»ÆËؼƣ©
¡¾Ó÷¨ÓÃÁ¿¡¿Æ¤Ï¡¢¼¡ÄÚ×¢Éä»ò¾²×¢¡£Ò»´Î5¡«30mg£¬Ò»ÈÕ1´Î¡£
¡¾²»Á¼·´Ó³¡¿1.ÉöÖ°ÄÜÕý³£Ê±£¬±¾Ò©ÏÕЩ²»²úÉú¶¾ÐÔ¡£
2.żÓйýÃô·´Ó³¡£
¡¾½û ¼É¡¿¶Ô±¾Ò©¹ýÃôÕß½ûÓá£
¡¾µ±¿àÖÔÏî¡¿´óÁ¿Ê¹Óñ¾Ò©ºóÄòÒº³Ê»ÆÉ«£¨»ò»ÆÂÌÉ«£©£¬Ò²¿ÉÒýÆðÀàËÆ¼××´ÏÙÖ°ÄÜ¿º½øÖ¢×´¡£
¡¾Ôи¾¼°²¸ÈéÆÚ¸¾Å®ÓÃÒ©¡¿1.±¾Ò©¶Ô»³Ì¥µÄÓ°ÏìÉв»Ã÷È·¡£
2.±¾Ò©¿ÉÅÅйÈëÈéÖ£¬µ«²¸ÈéÊǰ²È«µÄ¡£
¡¾¶ùͯÓÃÒ©¡¿Éв»Ã÷È·¡£
¡¾ÀÏÄêÓÃÒ©¡¿Éв»Ã÷È·¡£
¡¾Ò©ÎïÏ໥×÷Óῼ×ÑõÂÈÆÕ°·¿É½µµÍ±¾Ò©ÎüÊÕ¡£¹Ê²»Ò˺ÏÓá£
¡¾Ò©Îï¹ýÁ¿¡¿Éв»Ã÷È·¡£
¡¾Ò©Àí¶¾Àí¡¿Ò©Àí×÷Óà ±¾Æ·ÎªÎ¬ÉúËØÀàÒ©¡£ºË»ÆËØ£¨Î¬ÉúËØB2£©ÊÇÈËÌå³ÁÒªÓªÑøËØ£¬ÔÚÄÜÁ¿´úлÖÐÆð¹Ø¼ü×÷Óá£
±¾Ò©Îª»ÆËص¥ºËÜÕËᣨFMN£©ºÍ»ÆËØÏÙàÑßʶþºËÜÕËᣨFAD£©Ç°ÌåÒ©£¬¶øFMNºÍFADÊÇ»ÆËØÃ¸¼Ò×åµÄ³ÁÒª¸¨ÖúÒò×Ó¡£»ÆËØÃ¸´ß»¯ºÃ¶àÉú»¯·´Ó³£¬×îµäÐ͵ÄΪÑõ»¯»¹Ô·´Ó³£¬ËüÃÇÊÇϸ°ûºôÎüµÄ¹Ø¼üÒò×Ó¡£FADºÍ FMNÔÚÏßÁ£Ì嶯µ¯Á´ÖеÝÇ⣬Ôڴ˹ý³ÌÖвúÉúϸ°ûÄÜÁ¿¡£²»×ãʱ¿ÉÓ°Ïì»úÌåµÄÉúÎïÑõ»¯£¬Ê¹´úл²úÉú×è°£¬Æä²¡±ä¶à²û·¢Îª¿Ú¡¢ÑÛ¡¢±íÉúÖ³Æ÷²¿Î»µÄÑ×Ö¢¡£
¡¾Ò©´ú¶¯Á¦Ñ§¡¿ÎÞ±¾Ò©×¢Éä¸øÒ©µÄÒ©´ú¶¯Á¦Ñ§×ÊÁÏ¡£
¾ÝÎļþ×ÊÁÏ£¬ºË»ÆËؿڷþºó£¬ÖØÒªÔÚ½ü¶ÎÓ׳¦ÎüÊÕ£¬Ê³Æ·ÄÜÍÆ½ø¸ÃÆ·ÎüÊÕ£¬µ¨Ñμӿì¸ÃÆ·ÎüÊÕ¡£ÔÚ2¡«25mg¼ÁÁ¿ÁìÓòÄÚ£¬ÆäÉúÎïÀûÓöÈΪ50¡«60%£¬µ¥´Î¿Ú·þµÄ×î´óÎüÊÕÁ¿Îª27mg£¬³¬Á¿²¿ÃÅ´Ó·à±ãÖÐÉø³ö¡£»ÆËص¥ºËÜÕËᣨFMN£©ºÍ»ÆËØÏÙàÑßʶþºËÜÕËᣨFAD£©ÎüÊÕ½ÏÉÙ¡£±¾Ò©¾Ãž²ÂöÈë¸Î½øÈëѪҺѻ·£¬ÔÙ´ïµ½×éÖ¯¡£´ó²¿ÃÅѪÇåºË»ÆËر»°×µ°°×»òÃâÒßÇòµ°°×תÔË£¬Í¨¹ýŨ¶ÈÌݶÈÃÖÉ¢ÖÁϸ°ûÄÚ¡£ÔÚϸ°ûÄÚ£¬ºË»ÆËØÍ¨¹ý»ÆËؼ¤Ã¸×ª»»ÎªFMN£¬FMNÓÖͨ¹ýFADºÏ³Éøת»»³ÉΪFAD£¬FADÊÇ×éÖ¯Öк˻ÆËصÄÖØÒª´æÔÚ´ó¾Ö¡£³¬¹ýÉí¶Î±ØÒªÁ¿µÄºË»ÆËØÖØÒª´ÓÉöÔàÉø³ö£¬²¿ÃÅ´úл²úÆ·Ò²´ÓÉöÔàÅųö¡£±¾Ò©¿Ú·þ»ò¼¡Èâ×¢ÉäµÄ°ëË¥ÆÚΪ66¡«84·ÖÖÓ¡£
¡¾Öü ²Ø¡¿Õڹ⣬Ãܹأ¨10¡«30¡æ£©±£Áô¡£
¡¾°ü ×°¡¿°²ê³×°£¬10Ö§/ºÐ¡£
¡¾ÓРЧ ÆÚ¡¿12¸öÔ¡£
¡¾Ö´Ðг߶ȡ¿¡¶ÖйúÒ©µä¡·2015Äê°æ¶þ²¿
¡¾ºË×¼Îĺš¿¹úÒ©×¼×ÖH20093989
¡¾³ö²úÆóÒµ¡¿ÆóÒµÃû³Æ£ºÉ½Î÷rg»Ê¼ÒÊÓѶ̩ʢÔìÒ©ÓÐÏÞ¹«Ë¾
³ö²úµØÖ·£ºÉ½Î÷Ê¡´óͬÊо¼Ã¼¼Êõ¿ª·¢ÇøµÚÒ»Ò½Ò©Ô°Çø
ÓÊÕþ±àÂ룺037300
µç»°ºÅÂ룺0352-7290991
´«ÕæºÅÂ룺0352-7290990
